This is a chemistry proficiency quiz to evaluate your knowledge in concepts of general chemistry and mathematics and your preparedness for Chemistry 115: General Chemistry II. You may utilize a scientific calculator and a periodic table for this quiz. Abstain from using notes, textbooks, or any other resources while you complete this quiz.
Image Sources
- Molecules_Question5: Palomar Community College District
- C115_Math1: Palomar Community College District
- C115_Math2: Palomar Community College District
- C115_Math3: Palomar Community College District
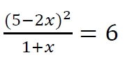
- C115_Math4: Palomar Community College District
- C115_Math5: Palomar Community College District

